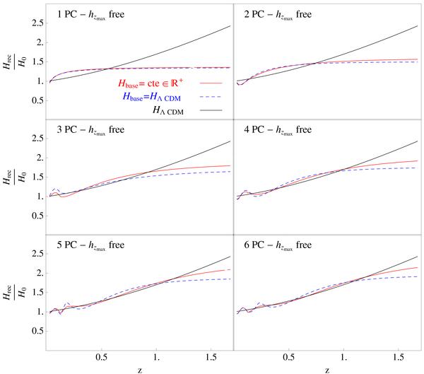
Fig.5

Reconstructions using one (top-left) to six (right-bottom) PCs for different choices of Hbase and considering zmax as a free parameter, for our mock sample. The black (full) line represents the fiducial model ΛCDM, the blue (dashed) line corresponds to the final reconstructions in the case Hbase(z) = HΛCDM and the red (full) line corresponds to the case Hbase(z) = cte > 0.
Current usage metrics show cumulative count of Article Views (full-text article views including HTML views, PDF and ePub downloads, according to the available data) and Abstracts Views on Vision4Press platform.
Data correspond to usage on the plateform after 2015. The current usage metrics is available 48-96 hours after online publication and is updated daily on week days.
Initial download of the metrics may take a while.