Free Access

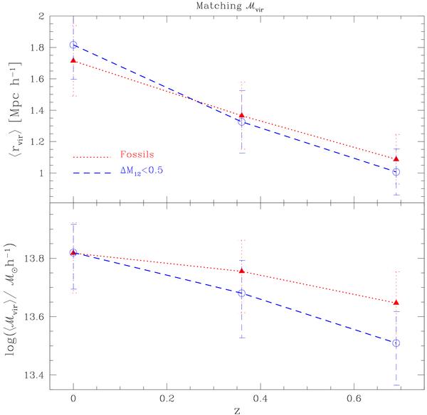
Fig. 3

thumbnail

Median values of virial radii (upper panel) and masses (lower panel) as a function of redshift for fossils (dotted line) and ΔM12 < 0.5 mag groups (dashed line). Error bars are the 25th and 75th percentiles.

Current usage metrics show cumulative count of Article Views (full-text article views including HTML views, PDF and ePub downloads, according to the available data) and Abstracts Views on Vision4Press platform.

Data correspond to usage on the plateform after 2015. The current usage metrics is available 48-96 hours after online publication and is updated daily on week days.

Initial download of the metrics may take a while.