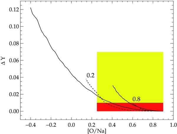
Fig. 11

Expected anti-correlation between helium (in mass fraction) and [O/Na] for second generation stars (at birth) born out of material ejected through slow winds of massive stars and diluted with gas of pristine composition. The tracks correspond to the cases of 20 and 120 M⊙ polluter stars (dashed and full lines, respectively) assuming different values (0.2 and 0.8) for the minimum dilution coefficient. See text for more details. The shaded regions indicate the star-to-star abundance differences derived in Sect. 3.5 for #5644 and #14 565 and related uncertainties (Δ [O/Na] = 0.65 and ΔY < 0.07).
Current usage metrics show cumulative count of Article Views (full-text article views including HTML views, PDF and ePub downloads, according to the available data) and Abstracts Views on Vision4Press platform.
Data correspond to usage on the plateform after 2015. The current usage metrics is available 48-96 hours after online publication and is updated daily on week days.
Initial download of the metrics may take a while.