Free Access

Fig. A.2

thumbnail

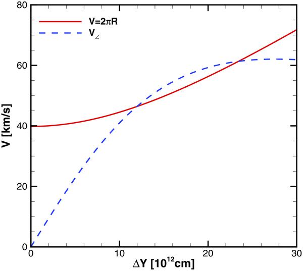
Rotational velocity (continuous) and LBV wind (dashed) along the orbital direction of motion for ΔX = 2 × 1013 cm in the LBV+O binary. The curves cross each other twice, showing the roots of Eq. (A.5). The second root (ΔY ≃ 2.35 × 1013 cm) marks the point where the collision shell starts to deviate from a ram-pressure-induced bowshock.

Current usage metrics show cumulative count of Article Views (full-text article views including HTML views, PDF and ePub downloads, according to the available data) and Abstracts Views on Vision4Press platform.

Data correspond to usage on the plateform after 2015. The current usage metrics is available 48-96 hours after online publication and is updated daily on week days.

Initial download of the metrics may take a while.