Free Access
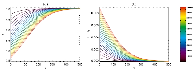
Fig. 7

Long-term evolution of a) density and b) temperature, over 0 ≤ t ≤ 100 000τA, where the different colours represent different times. The colour bar denotes the different times.
Current usage metrics show cumulative count of Article Views (full-text article views including HTML views, PDF and ePub downloads, according to the available data) and Abstracts Views on Vision4Press platform.
Data correspond to usage on the plateform after 2015. The current usage metrics is available 48-96 hours after online publication and is updated daily on week days.
Initial download of the metrics may take a while.