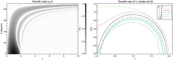
Fig. 15

Left. Numerically calculated growth rates of the
magneto-elliptic instability for elliptic streamlines of aspect ratio
χ = 4 as a function of the dimensionless magnetic field
strength
q = kvA/ΩK
and the angle θ between the wavevector of disturbances and the
vertical axis. Pure kz modes are the
most unstable ones, having a critical wavelength near the predicted
. Weaker destabilization exists at
intermediate θ (3D disturbances) for shorter wavelengths. Pure
planar disturbances (θ = π/2) are stable.
Right. Growth rates of the
kz modes for different aspect
ratios. For χ = 2 and χ = 3 the purely
hydrodynamical elliptical instability is seen as finite (and high) growth rates
as q tends to zero. For χ = 4 onwards, the
instability is magnetic and has a most unstable wavelength near
q = 1. The χ = 100 curve stands for an approach
to the limit of pure shear flow. The growth rate curve calculated matches that of
the MRI.
Current usage metrics show cumulative count of Article Views (full-text article views including HTML views, PDF and ePub downloads, according to the available data) and Abstracts Views on Vision4Press platform.
Data correspond to usage on the plateform after 2015. The current usage metrics is available 48-96 hours after online publication and is updated daily on week days.
Initial download of the metrics may take a while.