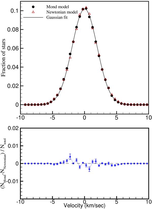
Fig. 3

Upper panel: radial velocity distribution of stars for a Newtonian (red triangles) and MONDian (black dots) system in which both have the same internal velocity dispersion. The smoothed line shows a Gaussian fitted to the distributions. Both distributions follow the Gaussian fit very closely. Lower panel: the relative difference between Newtonian and Mondian velocity distributions. There is a difference between the two models, but it is too small (less than 1%) to be detected observationally.
Current usage metrics show cumulative count of Article Views (full-text article views including HTML views, PDF and ePub downloads, according to the available data) and Abstracts Views on Vision4Press platform.
Data correspond to usage on the plateform after 2015. The current usage metrics is available 48-96 hours after online publication and is updated daily on week days.
Initial download of the metrics may take a while.