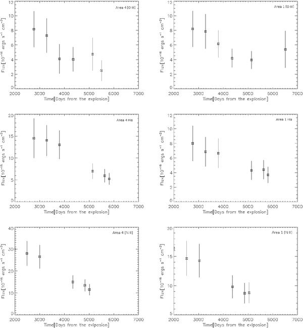
Fig. 10

Upper panel: [O III] light curves from the outer rings of SN 1987A. The points correspond to both the λλ4959, 5007 Å lines. Middle panel: Hα light curves from the outer rings of SN1987A. Lower panel: [N II] light curves from the outer rings of SN 1987A. The points correspond to the λλ6548, 6583 Å line doublet. In all three panels the light curves from the southern outer ring are shown (area 4) on the left side, while on the right panels the light curves from the northern ring (area 1) are shown. Times are corrected for light travel time (see text).
Current usage metrics show cumulative count of Article Views (full-text article views including HTML views, PDF and ePub downloads, according to the available data) and Abstracts Views on Vision4Press platform.
Data correspond to usage on the plateform after 2015. The current usage metrics is available 48-96 hours after online publication and is updated daily on week days.
Initial download of the metrics may take a while.