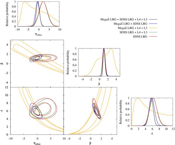
Fig. 14

Constraints by the joint fit to MegaZ-LRG and SDSS spectroscopic samples on the amplitude A of the intrinsic alignment model, the extra redshift dependence with power-law index ηother, and the index β of the luminosity dependence. In the lower left panels, the two-dimensional 1σ and 2σ confidence contours are given, marginalised in each case over the parameter not shown with flat priors in the range A ∈ [0;20], ηother ∈ [ − 10:10], and β ∈ [ − 5;5]. The upper right panels display the constraints on A, ηother, and β, each marginalised over the two remaining parameters. Red lines are obtained via fits to the six SDSS LRG samples, green lines for the SDSS LRG and Main samples, yellow lines via fits to the MegaZ-LRG and SDSS Main samples, blue lines for MegaZ-LRG and SDSS LRGs combined, and black lines result for the joint fit to the MegaZ-LRG, SDSS LRG, L4, and L3 samples.
Current usage metrics show cumulative count of Article Views (full-text article views including HTML views, PDF and ePub downloads, according to the available data) and Abstracts Views on Vision4Press platform.
Data correspond to usage on the plateform after 2015. The current usage metrics is available 48-96 hours after online publication and is updated daily on week days.
Initial download of the metrics may take a while.