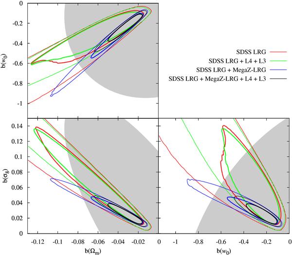
Fig. 18

Bias on cosmological parameters due to intrinsic alignments for a CFHTLS-like weak lensing survey. Shown are the regions in which 99% of the possible biases on the parameters {Ωm,σ8,w0} are located when the parameters {A,β,ηother} in the intrinsic alignment model are sampled from the 1σ confidence region (thick lines) and the 2σ confidence region (thin lines) of our fits. The contours resulting from the SDSS LRG constraints are shown in red, the ones from the SDSS LRG + SDSS Main (L3 and L4) constraints in green, the ones from the MegaZ-LRG + SDSS LRG constraints in blue, and the contours from the joint constraints by the MegaZ-LRG, SDSS LRG, and SDSS Main samples in black. The grey regions indicate the 1σ confidence regions of the constraints on cosmological parameters. For this analysis the 6 parameters {Ωm,σ8,h,ns,Ωb,w0} were varied. The fraction fr of red galaxies and the distribution of luminosities of red galaxies were determined from the luminosity functions provided by Faber et al. (2007). Note that the contours corresponding to the 2σ confidence region for the SDSS LRG-only and SDSS LRG + SDSS Main constraints extend far beyond the plot boundaries.
Current usage metrics show cumulative count of Article Views (full-text article views including HTML views, PDF and ePub downloads, according to the available data) and Abstracts Views on Vision4Press platform.
Data correspond to usage on the plateform after 2015. The current usage metrics is available 48-96 hours after online publication and is updated daily on week days.
Initial download of the metrics may take a while.