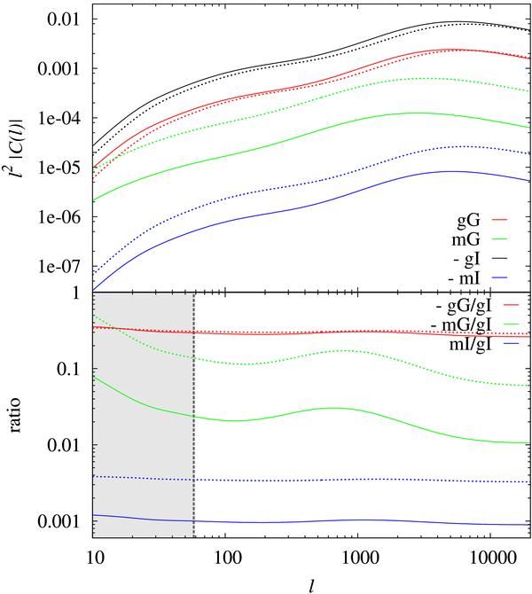
Fig. 5

Top panel: modulus of the angular power spectra of the different signals contributing to galaxy position-shape correlations. Number density-intrinsic correlations (gI) are shown in black, galaxy-galaxy lensing (gG) in red, magnification-shear correlations (mG) in green, and magnification-intrinsic correlations (mI) in blue. Solid curves correspond to the redshift auto-correlations at z = 0.5, i.e. close to the mean redshift of the low-redshift MegaZ-LRG sample, and dotted curves to the mean redshift of the high-redshift sample at z = 0.59. Bottom panel: ratio of the aforementioned signals over the gI correlations, with the same coding of the curves as above. The grey region covers angular scales that do not contribute significantly to the correlation functions. Galaxy-galaxy lensing and possibly mG correlations yield a relevant contribution to number density-shape correlations besides the gI signal.
Current usage metrics show cumulative count of Article Views (full-text article views including HTML views, PDF and ePub downloads, according to the available data) and Abstracts Views on Vision4Press platform.
Data correspond to usage on the plateform after 2015. The current usage metrics is available 48-96 hours after online publication and is updated daily on week days.
Initial download of the metrics may take a while.