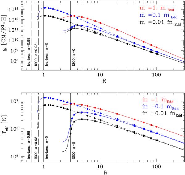
Fig. 1

Radial dependence of vertical gravity (upper panel) and effective temperature (lower panel) in our slim disk models for three accretion rates: ṁ = 0.01, 0.1, and 1, denoted as black, blue, and red respectiverly. Two dashed lines (blue and black) represent models for which we assume that the spin of a black hole equals 0.98. Thin horizontal lines mark the position of horizon and ISCO for rotating (dashed line) and nonrotating black holes (solid line). Points mark annuli for which detailed radiative transfer computations were performed.
Current usage metrics show cumulative count of Article Views (full-text article views including HTML views, PDF and ePub downloads, according to the available data) and Abstracts Views on Vision4Press platform.
Data correspond to usage on the plateform after 2015. The current usage metrics is available 48-96 hours after online publication and is updated daily on week days.
Initial download of the metrics may take a while.