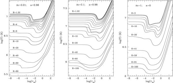
Fig. 2

Vertical temperature structure for various rings in three unilluminated disk models. Models differ by accretion rate ṁ and dimensionless spin of the black hole a. Curves are labeled by the distance from the black hole, R. In all cases we observe temperature rise in the outermost layers of atmosphere due to Compton scattering (see text for details).
Current usage metrics show cumulative count of Article Views (full-text article views including HTML views, PDF and ePub downloads, according to the available data) and Abstracts Views on Vision4Press platform.
Data correspond to usage on the plateform after 2015. The current usage metrics is available 48-96 hours after online publication and is updated daily on week days.
Initial download of the metrics may take a while.