Free Access
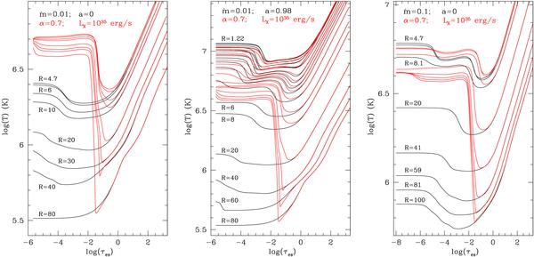
Fig. 3

Comparison of the temperature structure in three disk models before (black line) and after (red line) illumination by external radiation in the form of a power law. Results are shown for various distances from the black hole.
This figure is made of several images, please see below:
Current usage metrics show cumulative count of Article Views (full-text article views including HTML views, PDF and ePub downloads, according to the available data) and Abstracts Views on Vision4Press platform.
Data correspond to usage on the plateform after 2015. The current usage metrics is available 48-96 hours after online publication and is updated daily on week days.
Initial download of the metrics may take a while.