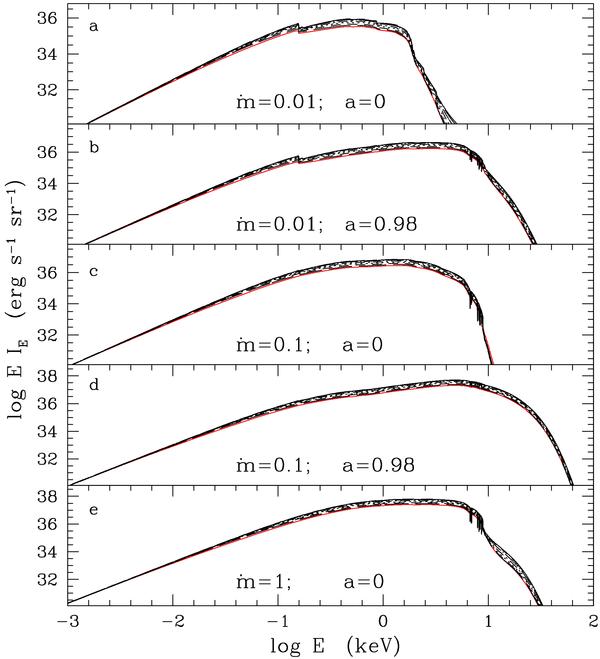
Fig. 6

Broad-band intensity spectra integrated over the disk surface for all unilluminated disk models for eight viewing angles. The shape of continuum is affected by several spectral edges and iron-line complex around 6.9 keV. Depending on the accretion rate and spin of the black hole, we can follow how limb darkening changes with energy.
Current usage metrics show cumulative count of Article Views (full-text article views including HTML views, PDF and ePub downloads, according to the available data) and Abstracts Views on Vision4Press platform.
Data correspond to usage on the plateform after 2015. The current usage metrics is available 48-96 hours after online publication and is updated daily on week days.
Initial download of the metrics may take a while.