Fig. 9

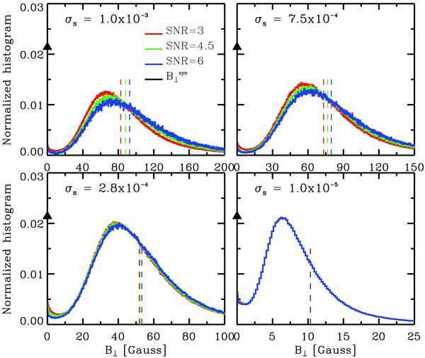
Same as Fig. 8 but for the transverse component of the magnetic field B ⊥ . The vertical black arrow indicates the original distribution employed to produce the synthetic Stokes profiles: it is a δ-Dirac centered at 0, because the synthetic profiles were obtained assuming that the magnetic field is longitudinal/vertical (γ = 0) and therefore . Note however that the effect of the noise induces the inversion code to retrieve high values for the transverse component of the magnetic field (blue and red lines).
Current usage metrics show cumulative count of Article Views (full-text article views including HTML views, PDF and ePub downloads, according to the available data) and Abstracts Views on Vision4Press platform.
Data correspond to usage on the plateform after 2015. The current usage metrics is available 48-96 hours after online publication and is updated daily on week days.
Initial download of the metrics may take a while.