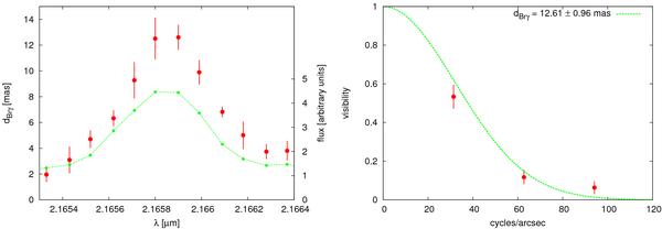
Fig. 3

Left: Gaussian FWHM fit diameters of the Brγ line-emitting region for several individual spectral channels (in the center and the line wings) across the Brγ emission line (red bullets). The diameters are derived from continuum-compensated visibilities. Therefore, they are the diameters of the Brγ line-emitting region and not of the emission region of both line plus continuum. The AMBER spectrum of MWC 297 is shown for comparison (green curve). Right: Gaussian fit to the continuum-compensated AMBER visibilities at the peak intensity of the Brγ emission line.
Current usage metrics show cumulative count of Article Views (full-text article views including HTML views, PDF and ePub downloads, according to the available data) and Abstracts Views on Vision4Press platform.
Data correspond to usage on the plateform after 2015. The current usage metrics is available 48-96 hours after online publication and is updated daily on week days.
Initial download of the metrics may take a while.