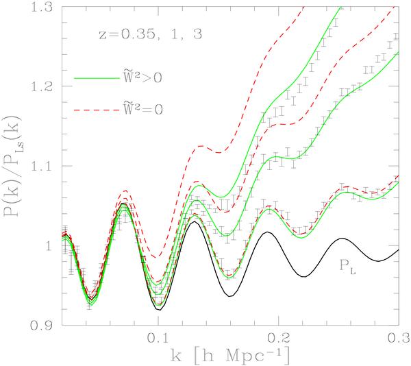
Fig. 13

The ratio of the nonlinear power spectrum P(k) to
a “no-wiggle” linear power
spectrum PLs(k), as
in Fig. 10, at redshifts
z = 0.35, 1, and 3. The green solid lines correspond to our
fiducial model, with halos defined by a density contrast δ = 200,
and are identical to the green solid lines shown in Fig. 10, while the red dashed lines are obtained by setting to zero
the 1-halo counterterm of
Eq. (35).
Current usage metrics show cumulative count of Article Views (full-text article views including HTML views, PDF and ePub downloads, according to the available data) and Abstracts Views on Vision4Press platform.
Data correspond to usage on the plateform after 2015. The current usage metrics is available 48-96 hours after online publication and is updated daily on week days.
Initial download of the metrics may take a while.