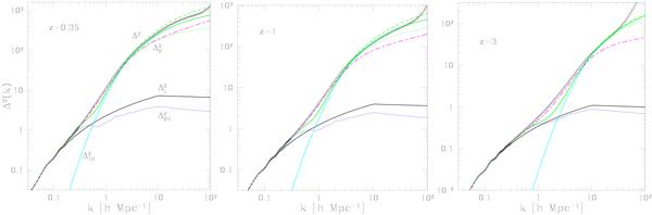
Fig. 9

The power per logarithmic interval of k, as defined in Eq. (47), at redshifts
z = 0.35, 1, and 3. The symbols are the results from the numerical
simulations described in Sect. 4. The black
solid line is the linear power spectrum, , and the blue
dotted line that is somewhat below at high k is the 2-halo
contribution (27),
. The
steep solid line
is the
1-halo contribution (35), for the halo
model described in Sect. 3.2. The green solid
line is the full nonlinear power spectrum,
. The
dashed (resp. dotted) green line, that is slightly larger (resp. smaller) at
high k, is the result obtained by using the concentration relation
for c(M) given by Dolag et al. (2004) (resp. Duffy et al. 2008) instead of Eq. (42).
The magenta dot-dashed line
, that is
somewhat below these new N-body results at high k,
is the fit to older simulations from Smith et al.
(2003).
Current usage metrics show cumulative count of Article Views (full-text article views including HTML views, PDF and ePub downloads, according to the available data) and Abstracts Views on Vision4Press platform.
Data correspond to usage on the plateform after 2015. The current usage metrics is available 48-96 hours after online publication and is updated daily on week days.
Initial download of the metrics may take a while.