Free Access

Fig. 10

thumbnail

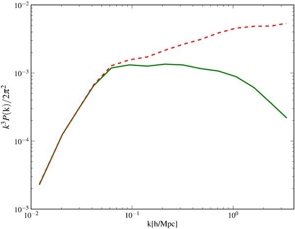
Power spectra of fluctuations in xα/(1 + xα) built using simulation S1 for  ⟨ xα ⟩  = 0.4 (z ~ 20.25). The figure shows the the total fluctuation (solid green line) and its first order approximation (dashed red line).

Current usage metrics show cumulative count of Article Views (full-text article views including HTML views, PDF and ePub downloads, according to the available data) and Abstracts Views on Vision4Press platform.

Data correspond to usage on the plateform after 2015. The current usage metrics is available 48-96 hours after online publication and is updated daily on week days.

Initial download of the metrics may take a while.