Free Access
Fig. 12

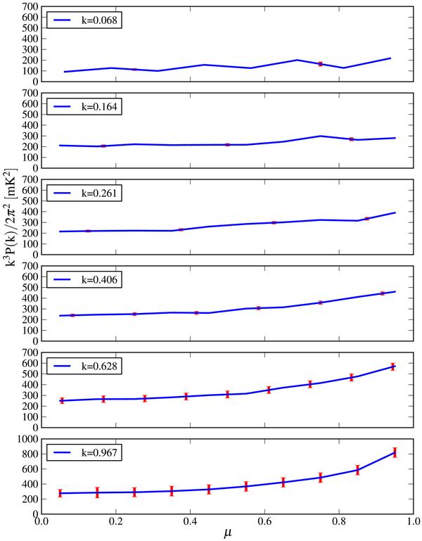
Expected measurements for the SKA of the 21 cm power spectrum as a function of the
angle with the line of sight (z = 20.25,
).
Current usage metrics show cumulative count of Article Views (full-text article views including HTML views, PDF and ePub downloads, according to the available data) and Abstracts Views on Vision4Press platform.
Data correspond to usage on the plateform after 2015. The current usage metrics is available 48-96 hours after online publication and is updated daily on week days.
Initial download of the metrics may take a while.