Free Access

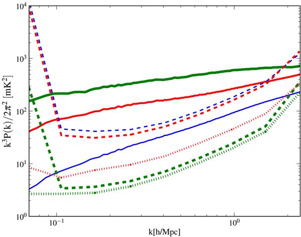
Fig. 13

thumbnail

Contributions for the 21 cm temperature power spectrum using simulations (solid lines), built using simulation S1 for  ⟨ xα ⟩  = 0.4 (z ~ 20.25). Dashed lines: expected errors. Dotted lines: expected errors assuming that Pμ4 is known. Solid lines from top to bottom are Pμ0 (green), Pμ2 (red) and Pμ4 (blue).

Current usage metrics show cumulative count of Article Views (full-text article views including HTML views, PDF and ePub downloads, according to the available data) and Abstracts Views on Vision4Press platform.

Data correspond to usage on the plateform after 2015. The current usage metrics is available 48-96 hours after online publication and is updated daily on week days.

Initial download of the metrics may take a while.