Free Access

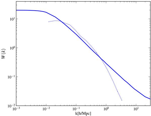
Fig. 14

thumbnail

Window function for simulation S1 considering only photons emitted below the Lyman beta limit, for  ⟨ xα ⟩  = 0.4 (z ~ 20.25). Solid lines are obtained using Eq. (22) and dotted lines are obtained using Pδδxα(k) and Pδ(k).

Current usage metrics show cumulative count of Article Views (full-text article views including HTML views, PDF and ePub downloads, according to the available data) and Abstracts Views on Vision4Press platform.

Data correspond to usage on the plateform after 2015. The current usage metrics is available 48-96 hours after online publication and is updated daily on week days.

Initial download of the metrics may take a while.