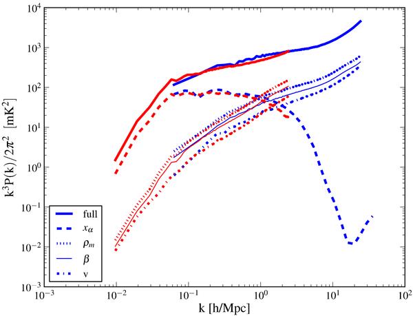
Fig. 6

The 21 cm power spectrum and its main contributions at ⟨ xα ⟩ = 0.4 (z ~ 20.25) using simulation S1 (red) and simulation S2 (blue). Top solid lines – all contributions included; dashed – Lyα only; dotted – matter density; bottom thin solid lines – fluctuations on the gas temperature from adiabatic cooling only; dot-dashed – velocity fluctuations only.
Current usage metrics show cumulative count of Article Views (full-text article views including HTML views, PDF and ePub downloads, according to the available data) and Abstracts Views on Vision4Press platform.
Data correspond to usage on the plateform after 2015. The current usage metrics is available 48-96 hours after online publication and is updated daily on week days.
Initial download of the metrics may take a while.