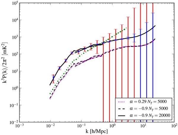
Fig. 8

21 cm temperature power spectrum for a few Lyman alpha emission models and simulations S1 and S2. Top black solid lines correspond to ⟨ xα ⟩ = 0.4 while bottom dashed/dotted curves to ⟨ xα ⟩ = 0.1 (all at z ~ 20.25). The green dot-dashed line uses halos down to 106 M⊙ and a Pop III type emission spectra. The error bars in blue corresponds to the full SKA while the ones in red to 10% of the collecting area.
Current usage metrics show cumulative count of Article Views (full-text article views including HTML views, PDF and ePub downloads, according to the available data) and Abstracts Views on Vision4Press platform.
Data correspond to usage on the plateform after 2015. The current usage metrics is available 48-96 hours after online publication and is updated daily on week days.
Initial download of the metrics may take a while.