Free Access

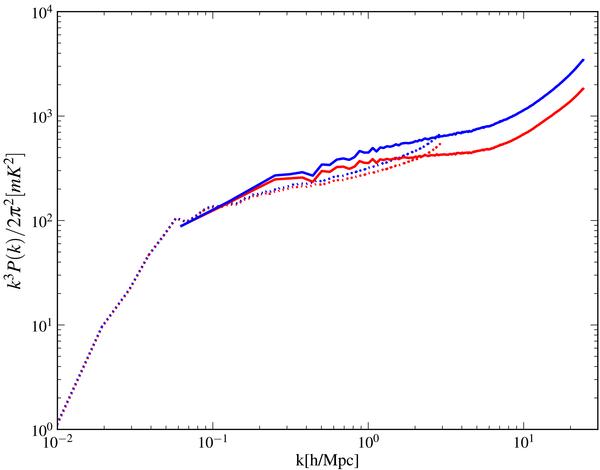
Fig. 9

thumbnail

Power spectra of brightness temperature fluctuations using simulation S1 (dotted lines) and using simulation S2 (solid lines) for  ⟨ xα ⟩  = 0.4 (z ~ 20.25). Blue lines (top) use the exact velocity contribution and red lines (bottom) use a first order approximation in the velocity contribution.

Current usage metrics show cumulative count of Article Views (full-text article views including HTML views, PDF and ePub downloads, according to the available data) and Abstracts Views on Vision4Press platform.

Data correspond to usage on the plateform after 2015. The current usage metrics is available 48-96 hours after online publication and is updated daily on week days.

Initial download of the metrics may take a while.