Free Access

Fig. 2

thumbnail

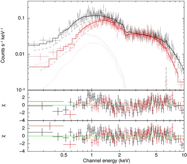
EPIC spectra of XMMU J004814.0-732204. The top panel shows the EPIC-pn (black) and EPIC-MOS2 (red) spectra, together with the best-fit model (solid line) of an absorbed power law (dashed line) plus black-body (dotted line) and iron fluorescent line (dash-dotted line). The residuals (re-binned for better comparison by an additional factor of three) are plotted for this model (bottom panel) and for the best-fit single power law model (middle panel).

Current usage metrics show cumulative count of Article Views (full-text article views including HTML views, PDF and ePub downloads, according to the available data) and Abstracts Views on Vision4Press platform.

Data correspond to usage on the plateform after 2015. The current usage metrics is available 48-96 hours after online publication and is updated daily on week days.

Initial download of the metrics may take a while.