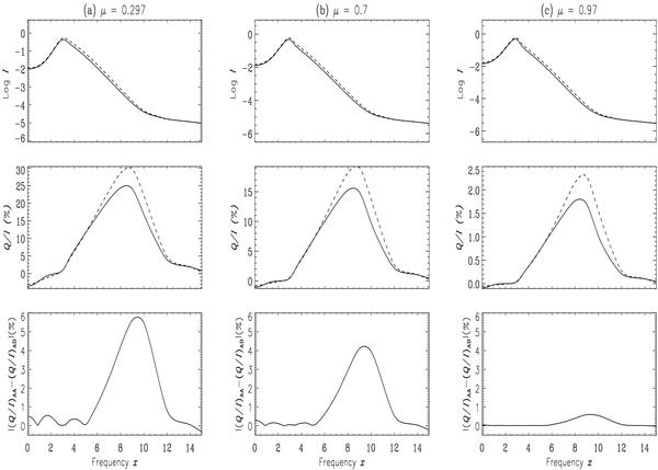
Fig. 8

Stokes I and Q/I profiles at the surface for different values of the heliocentric angle computed for the angle-averaged (dashed lines) and the angle-dependent (solid lines) PRD. The bottom three panels show the absolute difference in Q/I between the AA and AD profiles. The atmospheric model used is (T,a,ϵ,r,ΓE/ΓR) = (2 × 104,10-3,10-4,0,0).
Current usage metrics show cumulative count of Article Views (full-text article views including HTML views, PDF and ePub downloads, according to the available data) and Abstracts Views on Vision4Press platform.
Data correspond to usage on the plateform after 2015. The current usage metrics is available 48-96 hours after online publication and is updated daily on week days.
Initial download of the metrics may take a while.