Free Access

Fig. 11

thumbnail

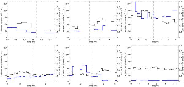
Example modelled (blue, in keV   cm-2   s-1   sr-1, left-hand y-axis) and XMM-Newton line-band (black, ct   s-1, right-hand y-axis) lightcurves. Observations with identifiers (top-left) 0150610101, (top-middle) 0054540501, (top-right) 0113050401 show the model lightcurve generally following the shape of the XMM-Newton lightcurve. Observations (bottom-left) 0141150101 and (bottom-middle) 0150320201 show the modelled lightcurve peak in a different period to the XMM-Newton lightcurve and (bottom-right) 0301410601 is an example from an observation without a SWCX enhancement. Five panels show the split between the SWCX-affected and SWCX-free periods (vertical dashed line).

This figure is made of several images, please see below:

Current usage metrics show cumulative count of Article Views (full-text article views including HTML views, PDF and ePub downloads, according to the available data) and Abstracts Views on Vision4Press platform.

Data correspond to usage on the plateform after 2015. The current usage metrics is available 48-96 hours after online publication and is updated daily on week days.

Initial download of the metrics may take a while.