Free Access

Fig. 2

thumbnail

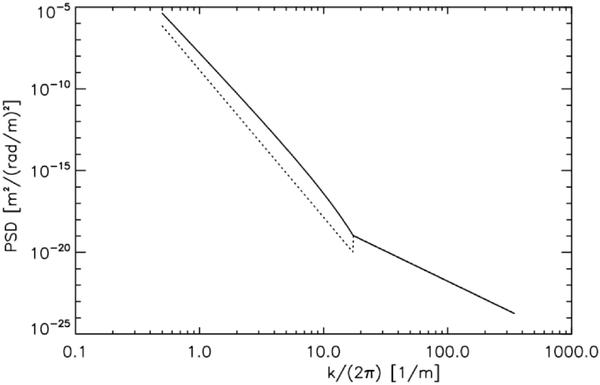
Envelope of the figuring error PSD for VLT DSM to avoid that the flattening residuals limit the performance of the AO correction with 0.21 arcsec seeing of the PSD of the allowed figuring error. The dashed curve is the PSD envelope taking in account the limitations on the maximum force that can be used to flatten the figuring error.

Current usage metrics show cumulative count of Article Views (full-text article views including HTML views, PDF and ePub downloads, according to the available data) and Abstracts Views on Vision4Press platform.

Data correspond to usage on the plateform after 2015. The current usage metrics is available 48-96 hours after online publication and is updated daily on week days.

Initial download of the metrics may take a while.