Free Access

Fig. 2

thumbnail

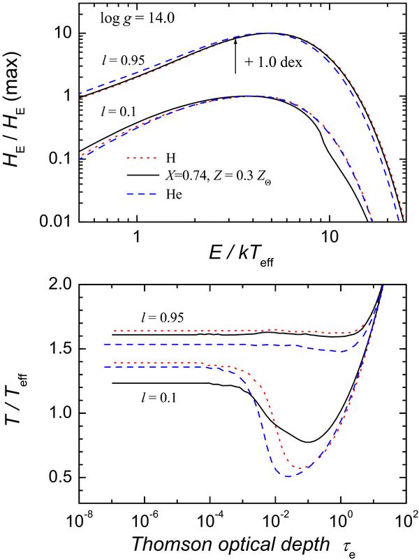
Emergent (unredshifted) spectra and temperature structures of model atmospheres with two relative luminosities (l = 0.95 and 0.1) at fixed surface gravity (log g = 14.0) for various chemical compositions: pure hydrogen (dotted curves), pure helium (dashed curves) and solar mix of hydrogen and helium, and subsolar metal abundance Z = 0.3   Z (solid curves). Top panel: spectra normalized to maximum flux versus photon energy in units of the effective temperature. Note, that Teff ∝ l1/4(1 + X)−1/4. For clarity, the spectra for l = 0.95 are shifted along the ordinate axis by a factor of 10. Bottom panel: corresponding temperature structures (in units of the effective temperature) versus Thomson optical depth.

Current usage metrics show cumulative count of Article Views (full-text article views including HTML views, PDF and ePub downloads, according to the available data) and Abstracts Views on Vision4Press platform.

Data correspond to usage on the plateform after 2015. The current usage metrics is available 48-96 hours after online publication and is updated daily on week days.

Initial download of the metrics may take a while.