Free Access

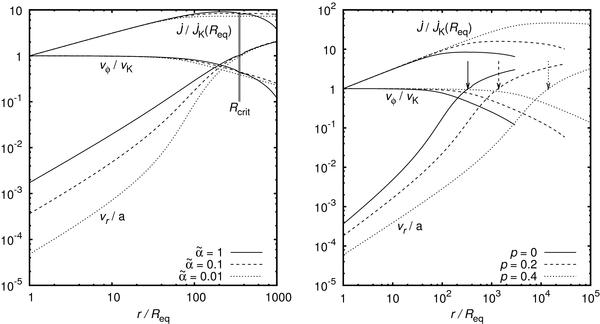
Fig. 1

thumbnail

The dependence of the radial velocity, azimuthal velocity, and the angular momentum loss rate in units of equator release angular momentum loss rate on the radius in a viscous disk. Left: models of isothermal disk (p = 0, ) with different viscosity parameter . Right: models with various temperarure profile for fixed and . Arrows denote the location of critical points.

This figure is made of several images, please see below:

Current usage metrics show cumulative count of Article Views (full-text article views including HTML views, PDF and ePub downloads, according to the available data) and Abstracts Views on Vision4Press platform.

Data correspond to usage on the plateform after 2015. The current usage metrics is available 48-96 hours after online publication and is updated daily on week days.

Initial download of the metrics may take a while.