Free Access
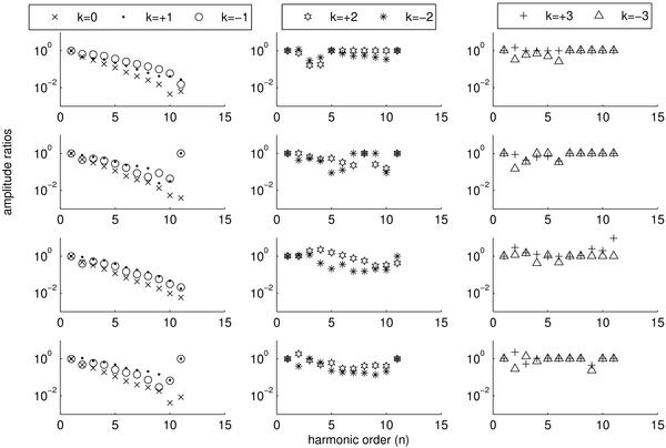
Fig. 6

Amplitude ratios of the harmonic components of the radial pulsation given in decimal logarithmic scale (Anf0 / Af0) compared to the amplitude ratios of the modulation components (Anf0 + kfm) / Af0 + kfm). From top to bottom, the panels show the amplitude ratios for the first, second, third, and fourth Blazhko cycle.
Current usage metrics show cumulative count of Article Views (full-text article views including HTML views, PDF and ePub downloads, according to the available data) and Abstracts Views on Vision4Press platform.
Data correspond to usage on the plateform after 2015. The current usage metrics is available 48-96 hours after online publication and is updated daily on week days.
Initial download of the metrics may take a while.