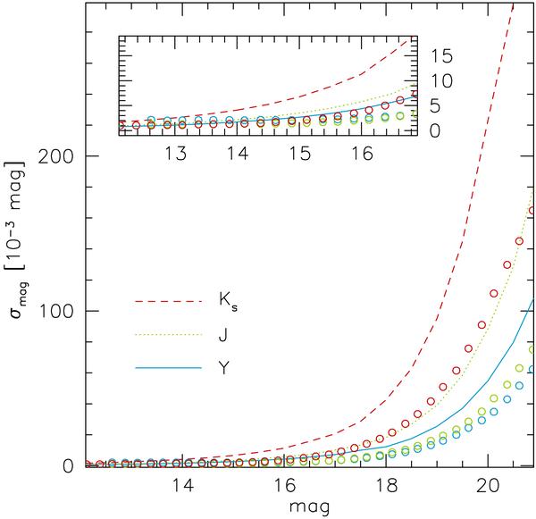
Fig. 5

Photometric uncertainties in the VMC data for stacked paw-prints (dashed, dotted and continuous lines in the Ks, J and Y bands respectively) and tiles (red, green and blue circles in the Ks, J and Y bands respectively) in the 8_8 field. Uncertainties are progressively smaller from Ks to Y and are systematically smaller in tiles than in stacked paw-prints.
Current usage metrics show cumulative count of Article Views (full-text article views including HTML views, PDF and ePub downloads, according to the available data) and Abstracts Views on Vision4Press platform.
Data correspond to usage on the plateform after 2015. The current usage metrics is available 48-96 hours after online publication and is updated daily on week days.
Initial download of the metrics may take a while.