Free Access

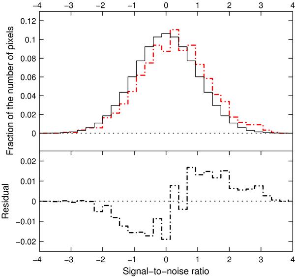
Fig. 8

thumbnail

Top panel: normalized histogram of the signal-to-noise values in the LABOCA maps at the 24 μm positions (dash-dotted line), compared with the mean histogram from 20 sets of random positions (solid line). Lower panel: difference signal between the signal-to-noise histogram above, showing that the main part of the stacked signal is due to sources with signal-to-noise ratios between 0.5 and 2. This histogram clearly shows a deficit of points at negative signal-to-noise units and an excess at positive signal-to-noise units.

Current usage metrics show cumulative count of Article Views (full-text article views including HTML views, PDF and ePub downloads, according to the available data) and Abstracts Views on Vision4Press platform.

Data correspond to usage on the plateform after 2015. The current usage metrics is available 48-96 hours after online publication and is updated daily on week days.

Initial download of the metrics may take a while.