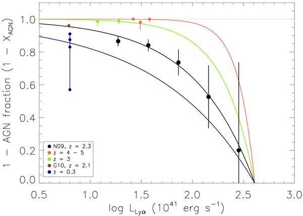
Fig. 1

Cumulative fraction of non-AGN LAEs as a function of Lyα luminosity. Black dots are from the Nilsson et al. (2009) sample. Coloured points are from publications at redshifts z = 0.3 (Atek et al. 2009; Cowie et al. 2010; Finkelstein et al. 2009; Scarlata et al. 2009), z = 2.1 (Guaita et al. 2010), z = 3 (Gronwall et al. 2007; Ouchi et al. 2008) and at z ~ 4−5 (Wang et al. 2004; Ouchi et al. 2008). Lines indicate best-fit models (see text for details).
Current usage metrics show cumulative count of Article Views (full-text article views including HTML views, PDF and ePub downloads, according to the available data) and Abstracts Views on Vision4Press platform.
Data correspond to usage on the plateform after 2015. The current usage metrics is available 48-96 hours after online publication and is updated daily on week days.
Initial download of the metrics may take a while.