Free Access

Fig. 3

thumbnail

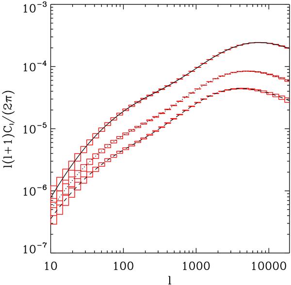
The cosmic shear power spectrum and associated 1σ error bars for the DUNE/Euclid cosmic shear survey for the 1st (upper line) and 2nd (middle line) tomographic bins (with median redshifts of 0.68 and 1.36 respectively) as well as the cross-correlation between the bins (lower line).

Current usage metrics show cumulative count of Article Views (full-text article views including HTML views, PDF and ePub downloads, according to the available data) and Abstracts Views on Vision4Press platform.

Data correspond to usage on the plateform after 2015. The current usage metrics is available 48-96 hours after online publication and is updated daily on week days.

Initial download of the metrics may take a while.