Free Access

Fig. 9

thumbnail

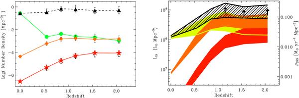
(Left) Evolution up to zs2.3 of the comoving number density of “normal” galaxies (i.e. 107      L < Lir < 1011   L; black filled triangles), LIRGs (orange filled diamonds) and ULIRGs (red filled stars). The green circles represent the total number of galaxies which are above the 24 μm detection limit of the surveys presented here, i.e. . The zs0 points are taken from Sanders et al. (2003). (Right) Evolution of the comoving IR energy density up to zs2.3 (upper striped area) and the relative contribution of “normal” galaxies (yellow filled area), LIRGs (orange filled area) and ULIRGs (red filled area). The areas are defined using all the solutions compatible within 1σ with the infrared LF. Black arrows show the comoving IR energy density derived by stacking the 70 μm image at all IRAC sources positions (Jy). The axis on the right side of the diagram shows the evolution of the SFR density under the assumption that the SFR and LIR are related by Eq. (3) for a Salpeter IMF.

This figure is made of several images, please see below:

Current usage metrics show cumulative count of Article Views (full-text article views including HTML views, PDF and ePub downloads, according to the available data) and Abstracts Views on Vision4Press platform.

Data correspond to usage on the plateform after 2015. The current usage metrics is available 48-96 hours after online publication and is updated daily on week days.

Initial download of the metrics may take a while.