Free Access

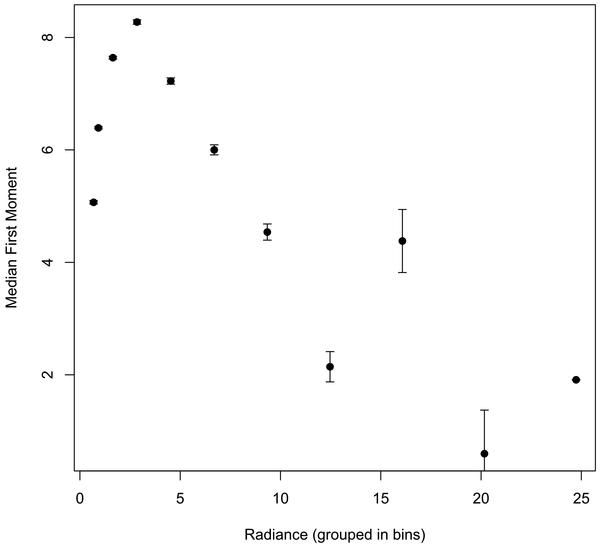
Fig. 10

thumbnail

Median wavelength shift in the proximity of the two active regions NOAA 8998 and NOAA 9004, as a function of the mid-point of radiance bins. The y axis represents the median wavelength shift in units of km s-1 for several integrated line radiance bins.

Current usage metrics show cumulative count of Article Views (full-text article views including HTML views, PDF and ePub downloads, according to the available data) and Abstracts Views on Vision4Press platform.

Data correspond to usage on the plateform after 2015. The current usage metrics is available 48-96 hours after online publication and is updated daily on week days.

Initial download of the metrics may take a while.