Free Access

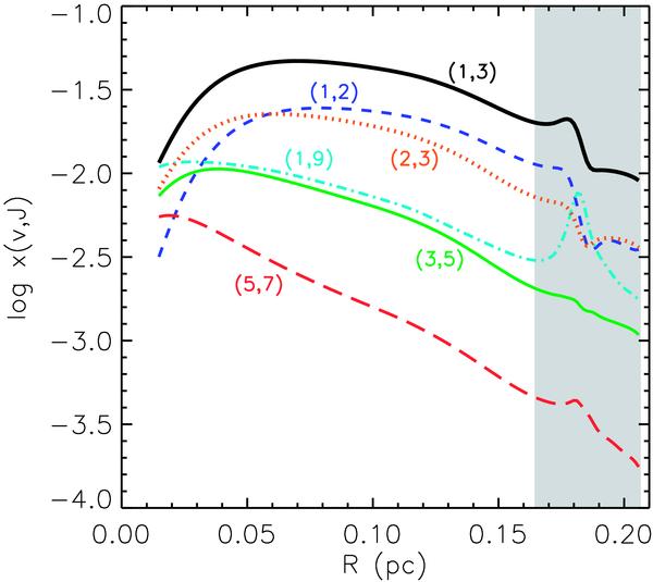
Fig. 3

thumbnail

Relative population of some H2 rovibrational energy levels of the ground electronic state as a function of the distance to the central star for the standard PN model. Levels are indicated by their vibrational and rotation numbers (v,J). The gray band indicates the TZ. A color version of this figure is available online.

Current usage metrics show cumulative count of Article Views (full-text article views including HTML views, PDF and ePub downloads, according to the available data) and Abstracts Views on Vision4Press platform.

Data correspond to usage on the plateform after 2015. The current usage metrics is available 48-96 hours after online publication and is updated daily on week days.

Initial download of the metrics may take a while.