Free Access

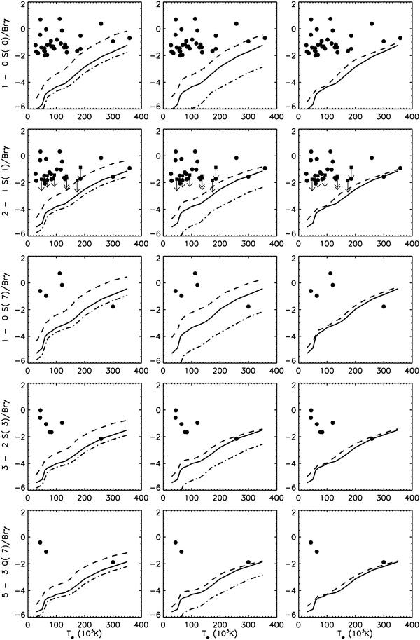
Fig. 7

thumbnail

Ratios of some H2 lines to Brγ for the ionized region as a function of T  . The models are the same as for Fig. 2. The observed ratios are represented by dots. Boxes with down arrows are upper limits. The references for the observations are given in the text.

Current usage metrics show cumulative count of Article Views (full-text article views including HTML views, PDF and ePub downloads, according to the available data) and Abstracts Views on Vision4Press platform.

Data correspond to usage on the plateform after 2015. The current usage metrics is available 48-96 hours after online publication and is updated daily on week days.

Initial download of the metrics may take a while.