Free Access

Fig. 12

thumbnail

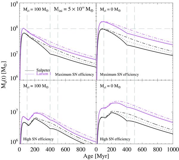
Comparison of the evolution of the dust mass between EIT08M including and without the SMBH formation. The initial gas mass of the galaxy Mini = 5 × 1010 M. Calculations are shown for a “maximum” (top row) and a “high” (bottom row) SN dust production efficiency ϵi(m). Dust destruction is taken into account for Mcl = 100   M (left column) and 0 M (right column). Calculations including the SMBH are performed for a SMBH mass MSMBH = 5 × 109 M (solid curves) and for MSMBH = 3  ×  109 M (dotted curves). The calculations without the SMBH are illustrated as dot-dashed curves. The black lines represent the Salpeter IMF and the magenta lines the Larson 2 IMF. The grey horizontal dashed line marks the limit of 108 M of dust. The grey vertical dashed lines indicate epochs at 100, 400, and 500 Myr after the onset of starburst.

Current usage metrics show cumulative count of Article Views (full-text article views including HTML views, PDF and ePub downloads, according to the available data) and Abstracts Views on Vision4Press platform.

Data correspond to usage on the plateform after 2015. The current usage metrics is available 48-96 hours after online publication and is updated daily on week days.

Initial download of the metrics may take a while.