Free Access

Fig. 7

thumbnail

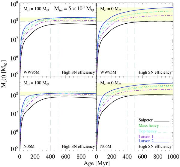
Evolution of the total dust mass for WW95M (top row) and N06M (bottom row). Both models are presented for a galaxy with Mini = 5 × 1011 M. Total dust masses Md(t) are shown for “high” SN dust production efficiency ϵhigh(m). Dust destruction is taken into account for Mcl = 100   M (left column) and 0 M (right column). Maximum dust masses exceeding 108 M are indicated as yellow shaded zones. The grey horizontal dashed line marks the limit of 108 M of dust. The grey vertical dashed lines indicate epochs at 400 and 500 Myr after the onset of starburst. The black solid, green dotted, cyan dashed, magenta dashed-dotted, and blue dashed-dot-dotted lines represent the Salpeter, mass-heavy, top-heavy, Larson 1, and Larson 2 IMF, respectively.

Current usage metrics show cumulative count of Article Views (full-text article views including HTML views, PDF and ePub downloads, according to the available data) and Abstracts Views on Vision4Press platform.

Data correspond to usage on the plateform after 2015. The current usage metrics is available 48-96 hours after online publication and is updated daily on week days.

Initial download of the metrics may take a while.