Highlight
Free Access

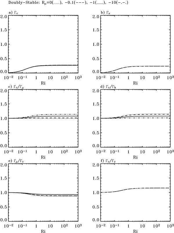
Fig. 1

thumbnail

Doubly Stable case, ∇μ > 0,   ∇ − ∇ad < 0, Rμ < 0. The dimensionless mixing efficiencies, defined in Eq. (6d), for the case of a passive tracer, spice, and the ratios of the former with those of μ, heat, buoyancy, and spice.

Current usage metrics show cumulative count of Article Views (full-text article views including HTML views, PDF and ePub downloads, according to the available data) and Abstracts Views on Vision4Press platform.

Data correspond to usage on the plateform after 2015. The current usage metrics is available 48-96 hours after online publication and is updated daily on week days.

Initial download of the metrics may take a while.