Free Access

Fig. 14

thumbnail

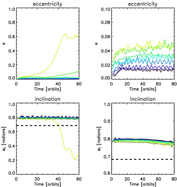
Orbital elements for model 4 (left panels) and model 5 (right panels). Only planetesimals with semi-major axes a ≤ 13 AU are included. In model 4 the Kozai effect is still operating, while in model 5 it is not. Panels 1 and 2 show the eccentricity. Panels 3 and 4 display the inclination, where the short dashed lines represent the inner and outer edge of the disc and the long dashed line indicates the threshold inclination of 0.68(39.2°) above which the Kozai mechanism can operate.

Current usage metrics show cumulative count of Article Views (full-text article views including HTML views, PDF and ePub downloads, according to the available data) and Abstracts Views on Vision4Press platform.

Data correspond to usage on the plateform after 2015. The current usage metrics is available 48-96 hours after online publication and is updated daily on week days.

Initial download of the metrics may take a while.