Free Access

Fig. 8

thumbnail

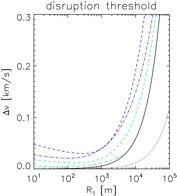
Threshold velocities for collisions between equally sized planetesimals as a function of their spherical radius R1. The disruption curves for the weak (dashed-dotted line) and strong rock (dashed line) are shown for two different impact velocities VI = 50 m/s (green) and VI = 2 km s-1 (blue) along with the solution for rubble piles (black-solid line). The bodies escape velocity (black-dotted line) is also shown.

Current usage metrics show cumulative count of Article Views (full-text article views including HTML views, PDF and ePub downloads, according to the available data) and Abstracts Views on Vision4Press platform.

Data correspond to usage on the plateform after 2015. The current usage metrics is available 48-96 hours after online publication and is updated daily on week days.

Initial download of the metrics may take a while.