Free Access

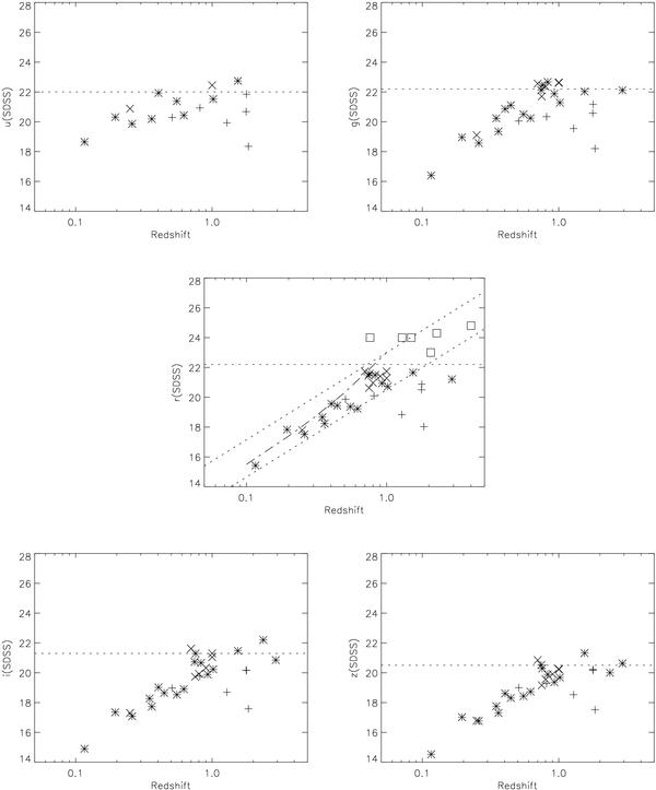
Fig. 4

thumbnail

Hubble diagrams in the five SDSS bands for quasars (+), galaxies with zsp (∗ ) and with zph2 (× ) only. The squares are the faint galaxies undetected in the SDSS. The horizontal lines represent the declared magnitude limits of SDSS. In the central panel the two parallel lines are from Labiano et al. (2007) and the curve is the best-fit line for GPSs from Snellen et al. (2002).

Current usage metrics show cumulative count of Article Views (full-text article views including HTML views, PDF and ePub downloads, according to the available data) and Abstracts Views on Vision4Press platform.

Data correspond to usage on the plateform after 2015. The current usage metrics is available 48-96 hours after online publication and is updated daily on week days.

Initial download of the metrics may take a while.