Free Access

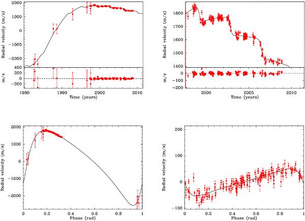
Fig. 4

thumbnail

Radial velocity observations and orbital solution of HD 196885 AB based on the CORAVEL, ELODIE, CORALIE and Lick surveys. Top Left: radial velocity variation as a function of time with the best orbital solution overplotted presenting the complete set of RV observations. Top Right: zoom-in on the RV variation due to the giant planet HD 196885 Aa superimposed to the RV drift due to the companion HD 196885 B. Bottom Left: radial velocity variation of HD 196885 A due to the B component only as a function of the orbital phase. Bottom Right: radial velocity variation of HD 196885 A due to the Ab planet only as a function of the orbital phase.

This figure is made of several images, please see below:

Current usage metrics show cumulative count of Article Views (full-text article views including HTML views, PDF and ePub downloads, according to the available data) and Abstracts Views on Vision4Press platform.

Data correspond to usage on the plateform after 2015. The current usage metrics is available 48-96 hours after online publication and is updated daily on week days.

Initial download of the metrics may take a while.