Free Access
Erratum
This article is an erratum for:
[https://doi.org/10.1051/0004-6361/201015475]


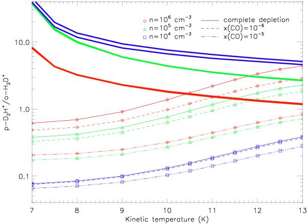
Fig. 9

thumbnail

Chemical model predictions of the p-D2H+/o-H2D+ ratio (same convention as previous figures), at steady state. The thick decreasing lines show the ratio derived from the non-LTE analysis of the observations, in the assumption of different densities and different o/p-H2 ratios (same curves as presented in Fig. 6 but with the same linestyle for both o-p H2 ratios).

Current usage metrics show cumulative count of Article Views (full-text article views including HTML views, PDF and ePub downloads, according to the available data) and Abstracts Views on Vision4Press platform.

Data correspond to usage on the plateform after 2015. The current usage metrics is available 48-96 hours after online publication and is updated daily on week days.

Initial download of the metrics may take a while.