Free Access

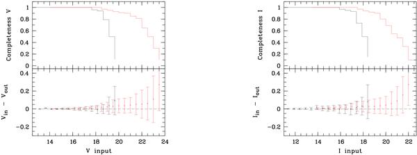
Fig. 4

thumbnail

V and I completeness and photometric errors for the 30 s (red) and 0.31 s (black) images. In the bottom panels the lines show the mean output minus input magnitudes of artificial stars, and the error bars show the 1σ distribution.

This figure is made of several images, please see below:

Current usage metrics show cumulative count of Article Views (full-text article views including HTML views, PDF and ePub downloads, according to the available data) and Abstracts Views on Vision4Press platform.

Data correspond to usage on the plateform after 2015. The current usage metrics is available 48-96 hours after online publication and is updated daily on week days.

Initial download of the metrics may take a while.